Номер 732 - ГДЗ Алгебра 7 класс. Мерзляк, Полонский. Учебник. Страница 126

Вернуться к содержанию учебника

Страница 126

729 730 731 732 733 734 735

Вопрос

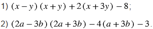
Разложите на множители выражение:

Подсказка

Ответ


Вернуться к содержанию учебника