Номер 731 - ГДЗ Алгебра 7 класс. Мерзляк, Полонский. Учебник. Страница 126

Вернуться к содержанию учебника

Страница 126

728 729 730 731 732 733 734

Вопрос

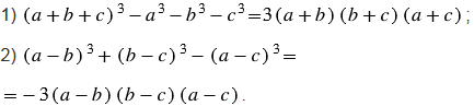
Докажите тождество:

Подсказка

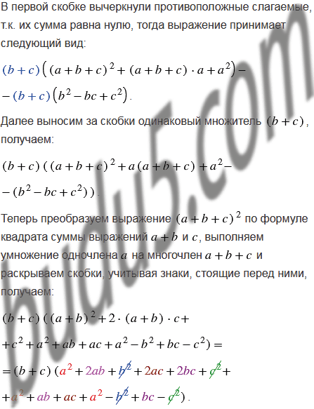
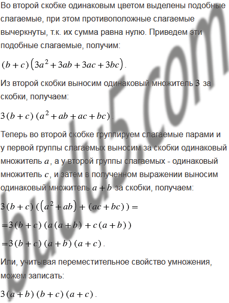
Ответ


Вернуться к содержанию учебника