Номер 730 - ГДЗ Алгебра 7 класс. Мерзляк, Полонский. Учебник. Страница 126

Вернуться к содержанию учебника

Страница 126

727 728 729 730 731 732 733

Вопрос

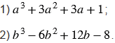
Представьте в виде куба двучлена выражение:

Подсказка

Ответ


Вернуться к содержанию учебника