Номер 221 - ГДЗ Алгебра 8 класс. Мерзляк, Полонский. Учебник. Страница 58

Вернуться к содержанию учебника

Упражнения § 7. Страница 58

218 219 220 221 222 223 224

Вопрос

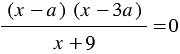
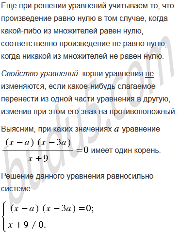
При каких значениях уравнение имеет один корень?

Подсказка

Вспомните:

  1. Что значит решить уравнение.
  2. Какие уравнения называют рациональными.
  3. Какую дробь называют рациональной, допустимые значения переменной.
  4. Умножение рациональных чисел.
  5. Деление и дроби.

Ответ


Вернуться к содержанию учебника