Номер 220 - ГДЗ Алгебра 8 класс. Мерзляк, Полонский. Учебник. Страница 58

Вернуться к содержанию учебника

Упражнения § 7. Страница 58

217 218 219 220 221 222 223

Вопрос

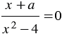
При каких значениях уравнение не имеет корней?

Подсказка

Вспомните:

  1. Что значит решить уравнение.
  2. Какие уравнения называют рациональными.
  3. Какую дробь называют рациональной, допустимые значения переменной.
  4. Свойства умножения.
  5. Деление и дроби.
  6. Квадрат разности двух выражений.
  7. Степень с натуральным показателем.

Ответ


Вернуться к содержанию учебника