Номер 10 - ГДЗ Алгебра 8 класс. Мерзляк, Полонский. Учебник. Страница 50

Вернуться к содержанию учебника

Задание №2 "Проверь себя". Страница 50

7 8 9 10 11 12 1

Вопрос

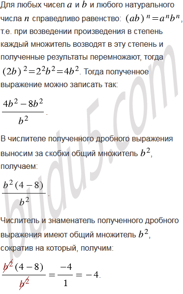
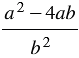
Чему равно значение выражения , если ?

А) 4

Б) 4

В) 3

Г) 3

Подсказка

Ответ

7 8 9 10 11 12 1


Вернуться к содержанию учебника