Номер 9 - ГДЗ Алгебра 8 класс. Мерзляк, Полонский. Учебник. Страница 50

Вернуться к содержанию учебника

Задание №2 "Проверь себя". Страница 50

6 7 8 9 10 11 12

Вопрос

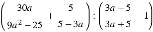
Какому числу при всех допустимых значениях равно значение выражения ?

А)

Б) 2

В)

Г) 2

Подсказка

Вспомните:

  1. Что называют тождественным преобразованием, сокращение дробей.
  2. Какую дробь называют рациональной.
  3. Порядок выполнения действий.
  4. Сложение и вычитание рациональных дробей с разными знаменателями.
  5. Сложение и вычитание рациональных дробей с одинаковыми знаменателями.
  6. Умножение и деление рациональных дробей.
  7. Подобные слагаемые, правила раскрытия скобок.
  8. Противоположные числа.
  9. Правила сложения рациональных чисел.
  10. Правило вычитания рациональных чисел.
  11. Степень с натуральным показателем.
  12. Свойства степени с натуральным показателем.
  13. Разность квадратов двух выражений.

Ответ

6 7 8 9 10 11 12


Вернуться к содержанию учебника