Номер 278 - ГДЗ Алгебра 8 класс. Мерзляк, Полонский. Учебник. Страница 70

Вернуться к содержанию учебника

Упражнения § 9. Страница 70

275 276 277 278 279 280 281

Вопрос

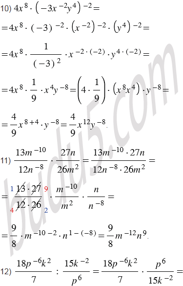
Упростите выражение:

Подсказка

Ответ


Вернуться к содержанию учебника