Номер 276 - ГДЗ Алгебра 8 класс. Мерзляк, Полонский. Учебник. Страница 70

Вернуться к содержанию учебника

Упражнения § 9. Страница 70

1 274 275 276 277 278 279

Вопрос

Найдите значение выражения:

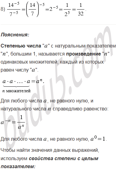
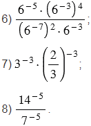
1) 959-7;

2) 10-81012;

3) 3-18 : 3-21;

4) 2-92-12 : 2-22;

5) (174)-12(17-6)-8;

Подсказка

Ответ


Вернуться к содержанию учебника