Номер 201 - ГДЗ Алгебра 8 класс. Мерзляк, Полонский. Учебник. Страница 47

Вернуться к содержанию учебника

Упражнения § 6. Страница 47

198 199 200 201 202 203 204

Вопрос

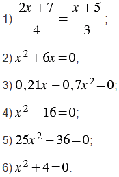
Решите уравнение:

Подсказка

Ответ


Вернуться к содержанию учебника