Вернуться к содержанию учебника
Объясни по рисункам и записям, как можно разными способами прибавить число 5.

В нашем справочнике повтори состав числа 7.
1.
![]() | ![]() |
| 1 + 6 = 7 | 6 + 1 = 7 |
Сделай вывод, как легче к 1 прибавить 6. Почему это возможно?
Вспомни: при перемене мест слагаемых сумма не меняется.
2.
| 2 + 7 7 + 2 | 1 + 9 ... | 3 + 6 ... | 2 + 8 ... |
От перестановки мест слагаемых сумма не меняется.
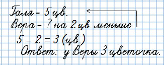
3. Галя вышила 5 цветочков, а Вера — на 2 цветочка меньше. Сколько цветочков вышила Вера? Сколько всего цветочков вышили девочки?
В нашем справочнике повтори тему "Больше. Меньше", вспомни, что такое задача и как оформлять её решение.
Решение
Сколько цветочков вышила Вера?
5 - 2 = 3 (цв.)
Ответ: у Веры 3 цветочка.
Сколько всего цветочков вышили девочки?
5 + 3 = 8 (цв.)
Ответ: всего 8 цветочков.
Пояснение
к вопросу 1:

На 2 меньше. Вычитание. Знак минус.
к вопросу 2:

Сколько всего? Сложение. Знак плюс.
Можно оформить эту задачу так:

4. Оля знает 5 сказок, а Таня — на 3 больше. Сколько сказок знает Таня?
В нашем справочнике повтори тему "Больше. Меньше", вспомни, что такое задача и как оформлять её решение.
5.
| 2 + 6 - 3 | 2 + 7 - 3 | 10 - 3 + 1 |
| 4 + 5 - 2 | 6 - 4 + 5 | 10 - 4 + 2 |
| 3 + 7 - 4 | 8 - 3 + 4 | 10 - 5 + 3 |
Решение
| 2 + 6 - 3 = 5 | 2 + 7 - 3 = 6 | 10 - 3 + 1 = 8 |
| 4 + 5 - 2 = 7 | 6 - 4 + 5 = 7 | 10 - 4 + 2 = 8 |
| 3 + 7 - 4 = 6 | 8 - 3 + 4 = 9 | 10 - 5 + 3 = 8 |
Пояснение
| 2 + 6 - 3 = 8 - 3 = 5 | 2 + 7 - 3 = 9 - 3 = 6 | 10 - 3 + 1 = 7 + 1 = 8 |
| 4 + 5 - 2 = 9 - 2 = 7 | 6 - 4 + 5 = 2 + 5 = 7 | 10 - 4 + 2 = 6 + 2 = 8 |
| 3 + 7 - 4 = 10 - 4 = 6 | 8 - 3 + 4 = 5 + 4 = 9 | 10 - 5 + 3 = 5 + 3 = 8 |
3 + 5 = ![]() | 4 + 6 = ![]() | 2 + 8 = ![]() |
Вспомни: от перестановки мест слагаемых сумма не изменится.

Рассмотри узор и установи закономерность.
Вернуться к содержанию учебника