Вернуться к содержанию учебника
Выберите год учебника
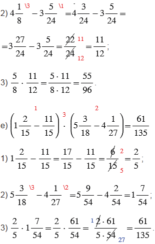
№2.276 учебника 2023-2024 (стр. 82):
Выполните действия:

№2.276 учебника 2021-2022 (стр. 77):
Найдите произведение дробей
. Переведите эти дроби в десятичную запись и выполните умножение. Сравните результаты.
№2.276 учебника 2023-2024 (стр. 82):
Вспомните:
№2.276 учебника 2021-2022 (стр. 77):
Вспомните:
№2.276 учебника 2023-2024 (стр. 82):



Пояснения:
Действиями первой ступени называют сложение и вычитание чисел, а действиями второй ступени - умножение и деление чисел.
При вычислении значений выражений порядок выполнения действий определяют следующие правила:
1. Если выражение содержит только действия одной ступени и в нем нет скобок, то действия выполняют по порядку слева направо.
2. Если в выражении нет скобок, то сначала выполняют действия второй ступени, потом - действия первой ступени.
3. Если в выражении есть скобки есть скобки, то сначала выполняют действия в скобках (учитывая правила 1 и 2).
Красные числа, стоящие сверху над действиями, показывают в каком порядке нужно выполнять действия.
Вычисления выполняем по следующим правилам:
1) чтобы найти сумму смешанных чисел, надо: дробные части этих чисел привести к наименьшему общему знаменателю; отдельно выполнить сложение целых и отдельно дробных частей; при необходимости сократить дробь (разделить числитель и знаменатель дроби на их наибольший общий делитель), выделить целую часть (когда числитель больше знаменателя) и прибавить ее к полученной целой части;
2) чтобы найти разность натурального числа и дроби или натурального числа и смешанного числа, надо: натуральное число уменьшить на единицу и единицу представить в виде неправильной с равными числителем и знаменателем, которые должны быть равны знаменателю дробной части вычитаемого; отдельно вычесть целые и отдельно дробные части и результаты сложить.
3) чтобы найти разность смешанных чисел, надо: дробные части этих чисел привести к наименьшему общему знаменателю; если дробная часть уменьшаемого больше дробной части вычитаемого, то надо отдельно вычесть целые и отдельно дробные части и результаты сложить; если дробная часть уменьшаемого меньше дробной части вычитаемого, то надо превратить ее в неправильную дробь, уменьшив на единицу целую часть, и отдельно вычесть целые и отдельно дробные части и результаты сложить; при необходимости сократить дробь (разделить числитель и знаменатель дроби на их наибольший общий делитель);
4) чтобы найти сумму (разность) двух дробей с одинаковыми знаменателями, нужно сложить (вычесть) их числители, а знаменатель оставить прежним;
5) произведением двух дробей является дробь, числитель которой равен произведению числителей, а знаменатель - произведению знаменателей;
6) чтобы выполнить умножение смешанных чисел, нужно записать эти числа в виде неправильных дробей, а затем воспользоваться правилом умножения дробей.
Чтобы преобразовать смешанное число в неправильную дробь, надо целую часть числа умножить на знаменатель дробной части и к полученному произведению прибавить числитель дробной части; эту сумму записать как числитель неправильной дроби, а в ее знаменатель записать знаменатель дробной части смешанного числа.
№2.276 учебника 2021-2022 (стр. 77):

| × | 3 | 4 | ||
| 6 | 7 | |||
| + | 2 | 3 | 8 | |
| 2 | 0 | 4 | ||
| 2 | 2 | 7 | 8 |

| × | 3 | 4 | ||
| 0 | 6 | 7 | ||
| + | 2 | 3 | 8 | |
| 2 | 0 | 4 | ||
| 2 | 2 | 7 | 8 |
Ответ: результаты вычислений равны.
Пояснения:
Произведением двух обыкновенных дробей является дробь, числитель которой равен произведению числителей, а знаменатель - произведению знаменателей.
Любую обыкновенную дробь, у которой в знаменателе стоит единица с нулями, можно записать в виде десятичной дроби (количество знаков после запятой совпадает с количеством нулей в знаменателе обыкновенной дроби).
Чтобы перемножить две десятичные дроби, надо:
1) записать дроби в столбик, как два натуральных числа не обращая внимание на запятые;
2) умножить их как натуральные числа, не обращая внимание на запятые;
3) в полученном произведении отделить запятой справа столько цифр, сколько их стоит после запятых в обоих множителях вместе.
Вернуться к содержанию учебника