Номер 385 - ГДЗ Алгебра 8 класс. Мерзляк, Полонский. Учебник. Страница 100

Вернуться к содержанию учебника

Упражнения § 12. Страница 100

382 383 384 385 386 387 388

Вопрос

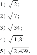
Пользуясь микрокалькулятором, найдите значение квадратного корня (результат округлите до сотых):

Подсказка

Вспомните:

  1. Что называют арифметическим квадратным корнем числа.
  2. Как обозначают арифметический квадратный корень из числа.
  3. Что такое степень числа.
  4. Что такое квадрат числа.
  5. Десятичную запись чисел.
  6. Округление десятичных дробей.

Ответ


Вернуться к содержанию учебника