Номер 290 - ГДЗ Алгебра 8 класс. Мерзляк, Полонский. Учебник. Страница 72

Вернуться к содержанию учебника

Упражнения § 9. Страница 72

287 288 289 290 291 292 293

Вопрос

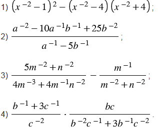
Упростите выражение:

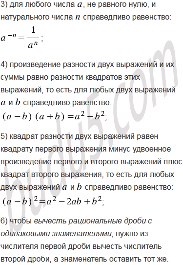
Подсказка

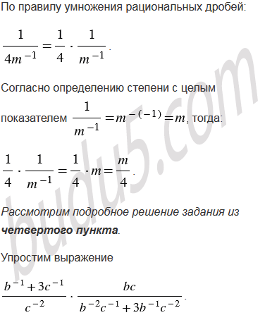
Ответ


Вернуться к содержанию учебника