Номер 268 - ГДЗ Алгебра 8 класс. Мерзляк, Полонский. Учебник. Страница 67

Вернуться к содержанию учебника

Упражнения § 8. Страница 67

265 266 267 268 269 270 271

Вопрос

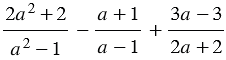
Упростите выражение

.

Подсказка

Вспомните:

  1. Какую дробь называют рациональной.
  2. Что называют одночленом.
  3. Что называют многочленом.
  4. Основное свойство рациональной дроби.
  5. Сложение и вычитание рациональных дробей с разными знаменателями.
  6. Сложение и вычитание рациональных дробей с одинаковыми знаменателями.
  7. Подобные слагаемые, правила раскрытия скобок.
  8. Степень с натуральным показателем.
  9. Свойства степени с натуральным показателем.
  10. Распределительное свойство умножения.
  11. Разложение многочленов на множители.
  12. Умножение одночлена на многочлен.
  13. Умножение многочлена на многочлен.
  14. Разность квадратов двух выражений.
  15. Квадрат суммы и квадрат разности двух выражений.
  16. Правила сложения рациональных чисел.
  17. Правило вычитания рациональных чисел.

Ответ


Вернуться к содержанию учебника