Номер 205 - ГДЗ Алгебра 8 класс. Мерзляк, Полонский. Учебник. Страница 55

Вернуться к содержанию учебника

Упражнения § 7. Страница 55

3 4 5 205 206 207 208

Вопрос

Истинным или ложным является высказывание:

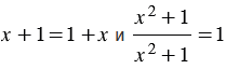
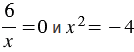
1) уравнения равносильны;

2) уравнения равносильны;

3) уравнения  равносильны;

4) уравнения и равносильны;

5) уравнения равносильны;

6) уравнения  равносильны?

Подсказка

Ответ


Вернуться к содержанию учебника