Номер 29 - ГДЗ Алгебра 8 класс. Мерзляк, Полонский. Учебник. Страница 14

Вернуться к содержанию учебника

Упражнения § 2. Страница 14

3 27 28 29 30 31 32

Вопрос

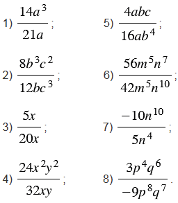
Сократите дробь:

Подсказка

Ответ


Вернуться к содержанию учебника