Номер 73 - ГДЗ Алгебра 7 класс. Мерзляк, Полонский. Учебник. Страница 18

Вернуться к содержанию учебника

Страница 18

70 71 72 73 74 75 76

Вопрос

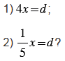
При каких значениях корень уравнения больше, чем :

Подсказка

Вспомните:

  1. Что такое корень уравнения.
  2. Линейные уравнения.
  3. Свойства уравнений.
  4. Деление и дроби.
  5. Правила деления рациональных чисел.
  6. Правила умножения рациональных чисел.
  7. Сравнение рациональных чисел.
  8. Модуль числа.
  9. Умножение обыкновенных дробей, взаимно обратные числа.

Ответ


Вернуться к содержанию учебника