Номер 25 - ГДЗ Алгебра 7 класс. Мерзляк, Полонский. Учебник. Страница 10

Вернуться к содержанию учебника

Страница 10

22 23 24 25 26 27 28

Вопрос

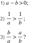
Известно, что и - натуральные числа, а число - правильная дробь. Можно ли утверждать, что:

Подсказка

Ответ


Вернуться к содержанию учебника